El pasado día 22 de mayo me subí al CAAT con Alfonso Carreño y Vicente Mas. Teníamos disponibles los dos telescopios, así que mientras el CDK hacía tomas de una Abell pusimos a trabajar el Meade con la ST7 en la observaicón de un tránsito. El exoplaneta X0-1b.
La estrella es bastante brillante, así que tuvimos que hacer tomas cortas. De 30 s. Aún así no ha salido demasiada dispersión.
La verdad es que fué un éxito. A persar de algunos problemillas técnicos, como el fuego en el cuadro de control de la cúpula, conseguimos unas buenas tomas.
Nos han faltado algunas más. Perdimos el principio del tránsito apagando fuegos (menos mal que estaba Vicente por allí) y como el control de la cúpula se quedó en manual también perdimos parte del final.
En cualquier caso, muy contentos con el resultado:
Exoplaneta X0-1b
Moderadores: enrique, Jordi, jjisachc
Exoplaneta X0-1b
- Adjuntos
-
- Image01.jpg (41.43 KiB) Visto 51361 veces
-
- Image02.jpg (49.31 KiB) Visto 51361 veces
-
- Image05.jpg (44.45 KiB) Visto 51361 veces
Re: Exoplaneta X0-1b
Hola Gon.
A pesar de las catástrofes, me alegro que al final hayamos podido conseguir una gran parte del tránsito. Los jueves bordes no siempre son satisfactorios. Aunque éste ha sido el primero en el que el exito no ha sido absoluto, hasta la fecha habíamos triunfado siempre.
Uno más a la saca, y a la próxima con mejor resultado.
saludos vte+
A pesar de las catástrofes, me alegro que al final hayamos podido conseguir una gran parte del tránsito. Los jueves bordes no siempre son satisfactorios. Aunque éste ha sido el primero en el que el exito no ha sido absoluto, hasta la fecha habíamos triunfado siempre.
Uno más a la saca, y a la próxima con mejor resultado.
saludos vte+
-
zonalunar
- Mensajes: 2325
- Registrado: Mié Mar 18, 2009 6:46 pm
- Ubicación: Puzol - Alfinach
- Contactar:
Re: Exoplaneta X0-1b
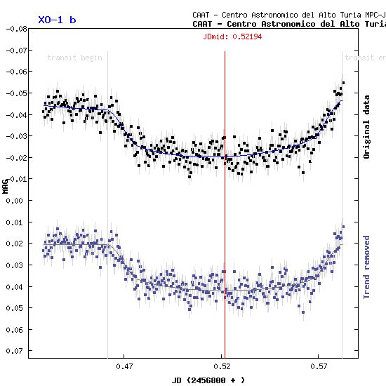
Yo pienso que ha sido un éxito y lo explico.
De momento desde el CAAT se han publicado 5 exoplanetas en el Exoplanet Transit Database y en los 4 primeros solo nos habían asignado un DQ del 3, indicador que asigna el ETD según la calidad de los datos.
En este último nos han asignado un DQ del 2 y estoy seguro que si estuviera terminado el tránsito en su final, los datos tanto de radio del planeta, como ángulo de inclinación, se hubieran acercado mucho a los oficiales.
Adjunto la gráfica donde nos asignan el DQ del 2.

Un saludo de Alfonso.
De momento desde el CAAT se han publicado 5 exoplanetas en el Exoplanet Transit Database y en los 4 primeros solo nos habían asignado un DQ del 3, indicador que asigna el ETD según la calidad de los datos.
En este último nos han asignado un DQ del 2 y estoy seguro que si estuviera terminado el tránsito en su final, los datos tanto de radio del planeta, como ángulo de inclinación, se hubieran acercado mucho a los oficiales.
Adjunto la gráfica donde nos asignan el DQ del 2.
Un saludo de Alfonso.
Observatorio Zonalunar - MPC J08
Long Perng 100ED f4.8 - Newton 200 f5
Canon 1000D - QHY6 - Atik 314L+
https://www.zonalunar.com
https://www.facebook.com/zonalunar
"Vemos con los ojos, pero vemos con el cerebro también y ver con el cerebro, a menudo se llama imaginación." Oliver Sacks.
Long Perng 100ED f4.8 - Newton 200 f5
Canon 1000D - QHY6 - Atik 314L+
https://www.zonalunar.com
https://www.facebook.com/zonalunar
"Vemos con los ojos, pero vemos con el cerebro también y ver con el cerebro, a menudo se llama imaginación." Oliver Sacks.
Re: Exoplaneta X0-1b
Sois unos cracks, todo el observatorio ardiendo y vosotros sacando el exoplaneta. Sois la hostia.
Enhorabuena
Enhorabuena
Telescopios: Ritchey-Chretien 10" Carbon - TS Optics Photon Newton 10" F4 - TS Optics Photoline 90mm f/6.6 FPL53 Triplet Apo
Cámaras: Moravian G2 8300 + FW 10x36mm - Atik 414 EX + FW 7x1.25"
Monturas: Skywatcher AZEq6 - Skywatcher EQ6R Pro
Galería en Astrobin - Galería en Telescopius
Cámaras: Moravian G2 8300 + FW 10x36mm - Atik 414 EX + FW 7x1.25"
Monturas: Skywatcher AZEq6 - Skywatcher EQ6R Pro
Galería en Astrobin - Galería en Telescopius